北京獵雕偉業起重設備有限公司歡迎您!獵雕起重專業生產手動/電動龍門吊,升降/移動龍門吊,鋁合金龍門吊,懸臂吊,自立式起重機,組合式KBK起重機,模組KBK軌道等輕小型起重產品。
輕型移動式龍門吊
描述: 產品名稱:輕型移動式龍門吊
所屬分類:手動式龍門吊
生產廠家:獵雕起重
產品型號:0.5t、1t、2t、3t、5t、10t 等(選型定制)
產品功能:可升降,可移動,電動控制/手動控制(功能為定制添加)
可搭配起重葫蘆:手拉葫蘆,電動葫蘆(根據工況需求選型搭配)
關鍵字:輕型移動式龍門吊,移動式龍門吊,可移動龍門吊,小型簡易龍門吊,輕型門式起重機
|
產品名稱 |
輕型移動式龍門吊 |
加工定制 |
是 |
貨號 |
移動式龍門吊 |
|
品牌 |
獵雕起重 |
型號 |
PT2-1 |
起重機類型 |
輕型門式起重機 |
|
操作形式 |
手動/電動 |
結構形式 |
鋼結構/鋁合金(選型定制) |
跨度 |
可定制(米) |
|
懸臂長度 |
定制(米) |
有效起升高度 |
定制(米) |
額定起重量 |
0.5 - 10(噸)(選型定制) |
產品名稱:輕型移動式龍門吊
所屬分類:手動式龍門吊
生產廠家:獵雕起重
產品型號:0.5t、1t、2t、3t、5t、10t 等(選型定制)
產品功能:可升降,可移動,電動控制/手動控制(功能為定制添加)
可搭配起重葫蘆:手拉葫蘆,電動葫蘆(根據工況需求選型搭配)
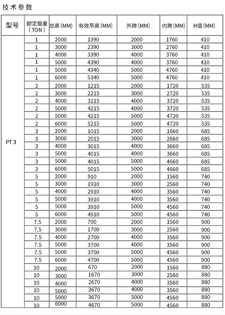
輕型移動式龍門吊產品參數表:

提示:以上參數可供參考,具體參數數值需根據客戶實際應用情況定制。
輕型移動式龍門吊產品實拍圖:



獵雕起重龍門吊制造廠優勢:
1、獵雕起重設備廠家直銷,品質保障;
2、高品質高效率,施工作業更方便;
3、技術實力強大,龍門吊設備安全耐用,客戶用的更放心;
4、售后服務完善,為客戶提供滿意的售后服務。
如果您有訂購的需求,可以聯系我們詳細咨詢。
聯系電話:15531107201 18519861704(同微信)